Svyatko
5
https://www.reddit.com/r/btrfs/comments/1459zzh/investigating_write_amplification/
https://www.researchgate.net/publication/318721269_Analyzing_IO_Amplification_in_Linux_File_Systems
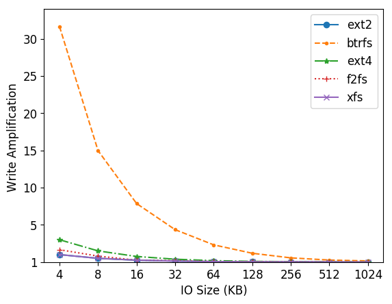
Fig. 1:
https://www.researchgate.net/figure/Write-Amplification-for-Various-Write-Sizes-The-figure-shows-the-write-amplification_fig1_318721269

1 Like